Publication 80
Circular SS

Federal Tax Guide for Employers in the U.S. Virgin Islands, Guam, American Samoa, and the Commonwealth of the Northern Mariana Islands

(Rev. January 2002)

A Change To Note

Reminders

Calendar

Introduction

1. Who Are Employees?

2. Employer Identification Number (EIN)

3. Employee's Social Security Number (SSN)

4. Taxable Wages

5. Taxable Tips

6. Social Security and Medicare Taxes for Farmworkers

7. How To Figure Social Security and Medicare Taxes

8. Deposit Requirements

9. Employer's Returns

10. Wage and Tax Statements

11. Federal Unemployment (FUTA) Tax--U.S. Virgin Islands Employers Only

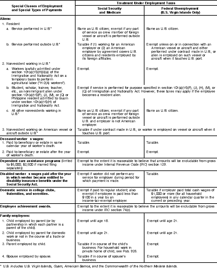
80chart1

80chart2

80chart3

80chart4

80chart5

80chart6